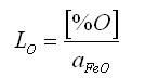
脫氧是利用去氧元素降低鋼液氧含量的過程-擴散脫氧法
后一篇文章:基因與生物??體內蛋白質的關系?生物顯微鏡哪有賣? »前一篇文章:« 什么是肥粒鐵與費德曼組織!生物顯微鏡哪有賣?
tags:技術,金相,生物顯微鏡,精密儀器,
本頁地址:http://m.zzgain.cn/wz/163.html轉載注明本站地址:http://m.zzgain.cn/ http://www.xianweijing.org/
版權申明:Copyright2012- 2015 禁止拷貝復制本站的文字和圖片,本站所有版權由上海光學儀器廠丨生物顯微鏡分部所有- 生物顯微鏡專賣-上海光學儀器廠丨生物顯微鏡分部-本站地址http://m.zzgain.cn/
百度統計: